SOLD
Sign In To View Winning Bidto
This item SOLD at 2013 Jun 30 @ 23:55UTC-07:00 : PDT/MST
Did you win this lot?
A full invoice should be emailed to the winner by the auctioneer within a day or two.
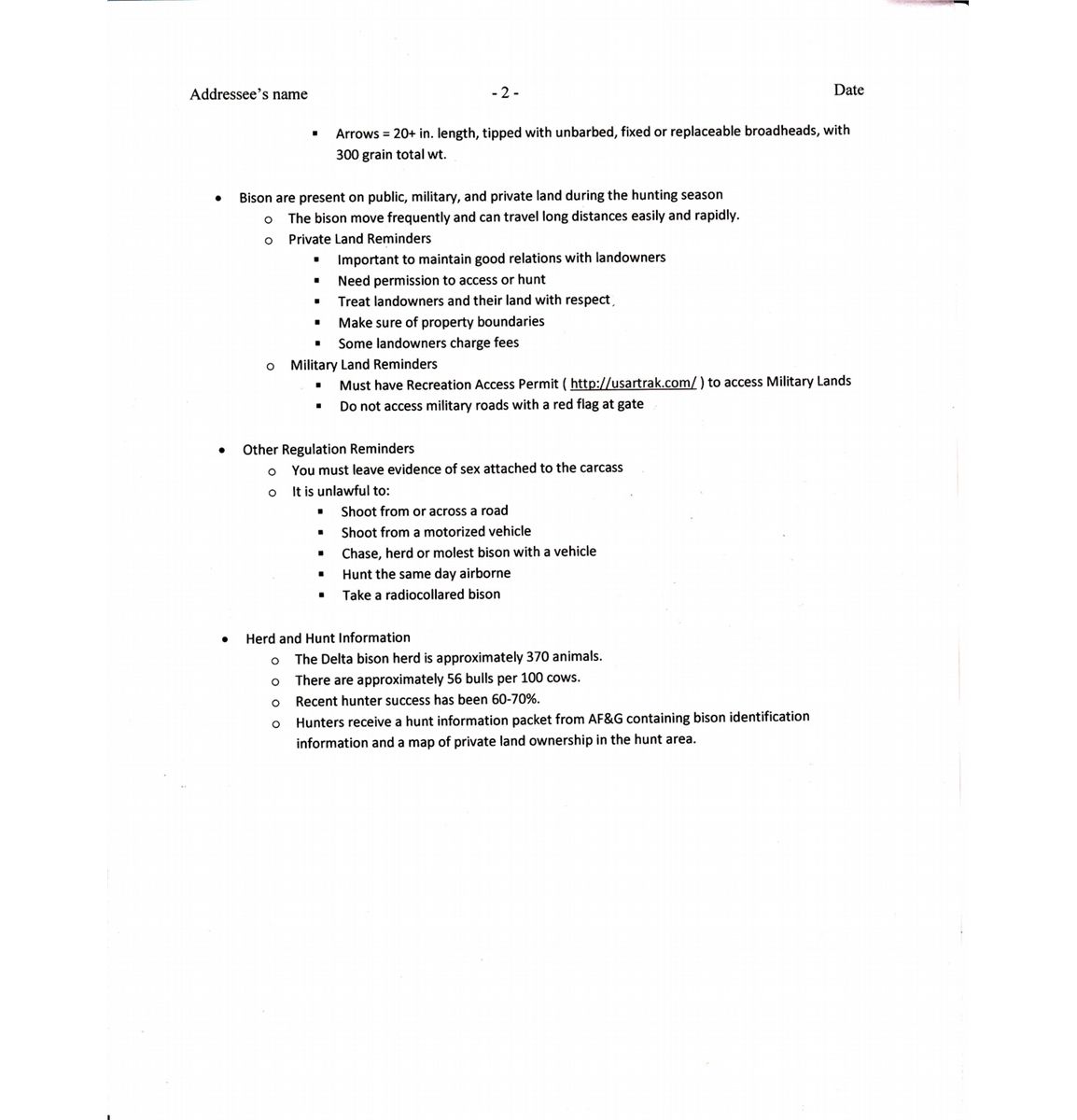
Here is an extremely rare chance to get your hand on an Alaskan Delta Bison tag. This tag will give you the opportunity to hunt this herd from October 1, 2013-March 31, 2014. Method of take is rifle, muzzleloader or bow. The Delta Bison herd is approximately 370 animals, with 56 bulls for every 100 cows. Recent hunters' success has been 60-70%. This tag will allow you to hunt the Delta Bison herd during the open dates until a Bison has been harvested. The Delta herd is present on public, private, and military land during the season. Permission must be obtained from landowners to hunt private land and must have a Recreation Access Permit to access military land. Hunter must complete a hunter orientation either online through the Alaska Department of Fish and Game website or in person at the Delta Area Office and the certificate of completion must be carried during the hunt. In-person orientation for the 2013-2014 season are Sept. 30, Oct. 4,11,17, Oct. 25, and Nov. 1. Weapons and ammunition restrictions apply; consult Alaska Department of Game and Fish for details. This is an auction for a tag only; no accommodations, meals, outfitting arrangements, licenses, &c. are included and all further costs are the responsibility of the buyer. More specific information regarding the hunt can be obtained from the Alaskan Department of Fish and Game, Darren Bruning in Delta Junction office at (907) 895-4484 or Darren.Bruning@alaska.gov.
Auction Location:
4800 W Gates Pass Rd, Tucson, Arizona, 85745, United States
Buyer's Premiums:
| From (Incl.) | To (Excl.) | Premium |
| 0.00 |
Infinite |
0% |
Additional Fees:
Shipping Details:
No Info Available
Payment Details:
No Info Available
Accepted Payment Methods:
- VISA
- Master Card
- AMEX
- Money Order/Bank Draft
- Check/Cheque
- Wire Transfer
Auction Buyer Agreement and Sales Invoice
DISCLAIMERS OF WARRANTIES AND LIABILITY
General – Any hunts, trips, goods or services purchased by buyer at auction are provided “AS IS” without warranty of any kind, either expressed or implied, including, but not limited to, the implied warranties of merchantability or fitness for a particular purpose. SCI makes no warranties about any Donor’s accuracy, competency or reliability, or of the buyer’s satisfaction with his/her purchase. SCI’s acceptance of donor’s gift or donation does not imply endorsement of the donor or the donated hunt, trip, goods or services.
In no event shall SCI, its directors, officers, agents, employees, or representatives be liable for any direct, indirect, incidental, special, exemplary, or consequential damages however caused and on any theory of liability, whether in contract, strict liability, or tort (including negligence or otherwise) arising in any way or form out of the Buyer’s purchase of trips, hunts, goods, services or anything else purchased by Buyer at auction.
Hunts – Although SCI has used its reasonable efforts to ensure the quality of donated hunts and trips, it has no control over the operation of the donor and cannot and does not guarantee that the hunt or trip will be to the Buyer’s satisfaction. The Buyer understands and agrees that it is his/her responsibility to make all arrangements for hunt or trip dates, including travel and completion and filing of all necessary documents, including applications for licenses and permits. SCI cannot guarantee or warrant that a trophy animal or any animal will be taken during a hunt. Some hunts are subject to VAT and GST liabilities, which sometimes are due and payable before the hunt can be taken. Buyer understands and agrees that SCI is not responsible for these fees and that it is Buyer’s responsibility to pay these fees unless other arrangements are made with donor.
Goods - All goods covered by this invoice have been donated to or obtained by SCI from third parties. The Buyer acknowledges that the goods have not been inspected by SCI and that Buyer is advised, in the case of firearms, knives, bows, bullets, or other sporting and/or hunting equipment, to secure a competent inspection and test of the goods before use. The goods covered by this invoice are sold AS IS. Any written warranties relating to the goods are SOLELY those of the manufacturer or provider.
Services - All services covered by this invoice have been donated to or obtained by SCI from third parties, and are to be furnished by such third parties. No such services are to be or will be performed by SCI. SCI has no control over the operation of the donor and cannot and does not guarantee the delivery or quality of any such services and it is not liable for any loss or damage arising from or relating to the provision or non-provision of such services. Buyer acknowledges and agrees that in the event services purchased are outside of the United States, SCI shall not be responsible or liable for any political unrest or instability that may occur outside the United States, nor shall SCI be held accountable for any injuries or damages.
No Refund Policy – This purchase is non-refundable. In no event shall Buyer seek reimbursement from SCI and Buyer acknowledges and agrees that SCI is not liable to refund the purchase price or any portion thereof.
Governing Law, Jurisdiction and Venue – This Agreement, its construction, performance and enforcement shall be governed by the laws of the State of Arizona without regard to any conflicts of law provisions. For all claims or disputes in which SCI is named as a party arising under or with respect to this Agreement or any item purchased at auction, Buyer agrees that the exclusive jurisdiction and venue for such disputes shall be in the Arizona Superior Court, Pima County or the United States District Court for the District of Arizona, Tucson Division. Buyer waives any objection or defense (including, without limitation any defense of inconvenient forum) that Buyer may now or hereafter have to the venue of any such action or proceeding in such courts. If legal action is required and SCI prevails, SCI shall be entitled to recover its attorney fees and costs.
Auction Program Policies – Buyer agrees that he/she is bound by the Auction Program Policies published in SCI Auction publications and that he/she has read the above Disclaimers of Warranties and Liabilities and the Auction Buyer Policy on the reverse side of this invoice and agrees to all such terms and conditions.
SCI – Auction Buyer Policy
SCI offers donated hunts and items to its members at official SCI events through live auctions, silent auctions and the sale of raffle tickets for designated items. SCI’s policy for hunts or items acquired by members at auction or through a raffle program is as follows:
1. SCI offers hunts, art, jewelry, firearms and other tangible items for bid during live and silent auctions or for raffle. All items are transferred as is. All valuations are provided by donors and all descriptions are based on information provided by third parties and SCI shall in no event be held responsible for their accuracy. SCI does not make implied or expressed warranties or representation of any kind, nor does SCI deem to have made any representation or warranty of the description, genuineness, attribution, provenance or condition of any item. No statement in the SCI publications, catalogs or brochures or in the bill of sale or invoice or elsewhere shall be deemed such a warranty, representation or assumption of liability by SCI. Any written warranties with respect to the items purchased are those solely and expressly supplied by the manufacturer or donor of that item or hunt. Although third parties sometimes provide appraisals with items such as jewelry, SCI does not verify or warrant their accuracy or origin. Appraisals are the result of subjective valuations and estimates of value and quality can vary markedly between competent and reliable appraisers. The provision of an appraisal does not represent a guarantee of value. Furthermore any written or visual presentation done or offered by third parties does not necessarily reflect the opinion or attitude of SCI.
2. After bidding for an item concludes and the auctioneer designates a winning bidder, the designated winner (buyer) must immediately agree to a Buyer's Agreement. For buyers at the auction location, the buyer must sign the Buyer's Agreement and one copy will be given to the buyer. For online buyers, the buyer must click "I accept" after reading the Buyer's Agreement which, along with payment for the item, constitutes agreement to the Buyer's Agreement. For silent auctions, the Silent Auction Bid Sheet is considered the Buyer's Agreement to purchase the indicated item. All signatures on Buyer's Agreements, Silent Auction Bid Sheets and Silent Auction Sealed Bid Forms, and "I accept" with payment for online purchases, are legal and binding. SCI/SCIF will not recognize changes, additions or deletions to any auction description agreed to by the buyer and donor unless such changes are noted on the Buyer's Agreement and signed by the buyer and an authorized representative of the donor, or in the case of online buyers, noted in an electronic writing exchanged between the buyer and an authorized representative of the donor.
3. All auctions are final and there will be no exchanges or refunds on items or hunts. SCI has made every effort to ensure the quality of donated items or hunts. However, SCI does not guarantee the satisfaction of the donor or the purchaser in any case. In reference to hunt donations, it is the purchaser’s responsibility to contact the hunt donor immediately and make all necessary arrangements for hunt dates and the application for any necessary paperwork for licenses and /or permits. Failure to make necessary arrangements may constitute forfeiture.
4. If a purchaser fails to pay for any item prior to the close of the Convention, SCI reserves the right to pursue all legal remedies available to it. SCI may undertake internal actions, which could result in sanctions including, but not limited to, suspension of purchaser’s membership or expulsion from SCI.
5. Although SCI makes reasonable efforts to list all extra and ancillary expenses not included in hunt, travel, service and other items, lists of expenses in auction item descriptions should not be considered exhaustive or definitive and SCI will not be held responsible for their completeness or accuracy. The amounts of additional expenses listed in auction item descriptions are approximations and are subject to change without notice. Bidders should contact relevant donors before bidding for additional and updated information about expenses one can expect to incur in taking a hunt or trip or in using a service or item.
6. All tangible items are subject to local sales tax.
7. All of the terms and conditions set forth in the Auction Hunt Policy and the Auction Program Rules & Regulations are applicable to members purchasing items at auction or through raffle and such terms and conditions are incorporated herein by reference.
SCI – Auction Program Rules & Regulations
SCI is a Section 501(c)(4), non-profit membership organization. Our members are conservationists who hunt. Our mission is conservation of wildlife, education of the public, and advocacy for hunting and hunter's rights. SCI appreciates the support of its donors and members in helping to further its programs and goals. Auction revenue funds a great portion of SCI's operating budget. The majority of the dollars raised goes to support SCI's conservation and education programs and for protection of the hunter. The term “auction” refers to silent auction, live auction and raffle. A person registered and bidding through the official SCI online auction will be considered to be registered and present for the auction.
Items donated to SCI and amounts paid to SCI as part of the auction do not qualify as charitable deductions. SCI is not a qualified charitable organization. No portion of any SCI auction purchase is eligible for a tax deduction unless it is an auction item (not a raffle item) sold for the benefit of SCI Foundation, which is a qualified charitable organization. If an auction item (not a raffle item) is sold for the benefit of the SCI Foundation, the purchaser may be eligible for a charitable deduction for only that portion of the payment that is over the item’s fair market (or retail) value (except for raffle ticket purchase, which are not eligible for a charitable deduction in all cases). All auction items are donated to SCI (not SCI Foundation) by SCI exhibitors unless otherwise noted. If an auction item is dedicated to benefit SCI Foundation, it will be noted in the description. Charitable deductions should be referred to in IRS Publication 1391, Deductibility of Payments Made to Charities Conducting Fund Raising Events and consult your tax advisor.
These Auction Program Rules and Regulations apply to auctions and raffles conducted for the benefit of SCI and SCI Foundation and the term “SCI” shall include “SCI Foundation” in all instances where the auction or raffle is conducted for the benefit of SCI Foundation.
Any exceptions to these Auction Program Rules & Regulations must be reviewed and accepted by Show Management and, if necessary, the SCI Executive Committee.
AUCTION BIDDING PROCEDURES AND CONDITIONS OF SALE
1. You or your representative (designated individual must have written, notarized authorization by you stating maximum bidding price for each of the items of interest) must be registered and present during the auction to be eligible to bid. A person who bids on behalf of another person or group will be ultimately held responsible for payment in its entirety.
2. All items auctioned are sold “as is.” SCI assumes no responsibility for the validity of the descriptions, authenticity, or condition of any item donated for auction. SCI makes no warranty or guarantee, express or implied regarding any property or service sold at auction including, but not limited to, any warranty of fitness for a particular purpose or merchantability. Values listed are as stated by donors and are not warranted by SCI for tax or any other purpose.
3. All items auctioned (whether goods or services) are have been acquired or obtained by SCI from third parties. The purchaser acknowledges that the items have not been inspected by SCI and that the purchaser is advised, in the case of firearms, knives, bows, bullets or other weapons, to secure a competent inspection and test of the goods before use. No services auctioned are to or will be performed by SCI.
4. After bidding for an item concludes and the auctioneer designates a winning bidder, the designated winner (buyer) must immediately agree to a Buyer's Agreement. For buyers at the auction location, the buyer must sign the Buyer's Agreement and one copy will be given to the buyer. For online buyers, the buyer must click "I accept" after reading the Buyer's Agreement which, along with payment for the item, constitutes agreement to the Buyer's Agreement. For silent auctions, the Silent Auction Bid Sheet is considered the Buyer's Agreement to purchase the indicated item. All signatures on Buyer's Agreements, Silent Auction Bid Sheets and Silent Auction Sealed Bid Forms, and "I accept" with payment for online purchases, are legal and binding. SCI/SCIF will not recognize changes, additions or deletions to any auction description agreed to by the buyer and donor unless such changes are noted on the Buyer's Agreement and signed by the buyer and an authorized representative of the donor, or in the case of online buyers, noted in an electronic writing exchanged between the buyer and an authorized representative of the donor.
5. By making a purchase, the purchaser waives any claim for liability against SCI or the donor of any property or service, and neither SCI nor the donor is responsible for any personal injuries or damages to property that may result from the utilization of any property or services sold. If any action or claim is made against SCI by an individual, entity, or state, local, federal, foreign or political body for any matter whatsoever arising from the use of the auctioned items, or any actions or parties conducting business with respect to the auctioned items, the donor and/or purchaser will pay SCI’s attorneys’ fees and costs and will hold SCI harmless from any judgment thereon.
6. By making a purchase, the purchaser agrees that:
a. The auction and purchases made at the auction shall be governed in all respects, whether as to validity, construction, capacity, performance, or otherwise, by the laws of the State of Arizona, except as preempted by federal law and that venue for any and all actions, including litigation, mediation and/or arbitration, shall be in Pima County Arizona.
b. Any dispute or action arising out of or relating to the Auction and purchases made at the Auction shall first be submitted to mediation before a mediator mutually agreed to by the Parties, with said mediation to be held in Pima County, Arizona. If mediation is unsuccessful, then such dispute or claim shall be submitted to final and binding arbitration in accordance with the rules of the American Arbitration Association or other appropriate standard relating to disputes arising out of contract, before one arbitrator, with said arbitration to be held in Pima County, Arizona.
7. If during a live auction, a final bid for an item is erroneously taken from two bidders, the bidding is closed to everyone else except those two bidders. The high bidder acknowledged by the auctioneer shall be the purchaser; the auctioneer shall have the sole and final discretion to determine the successful bidder in any auction. At each live auction, there will be pre-designated bid spotters in the audience, and it is the responsibility of the bidder to direct bids to the nearest spotter. The auctioneers and spotters will make every attempt to acknowledge all desired bids, but SCI is not responsible for any missed bids or bids that fail to be executed.
8. After each item’s sale (whether through a live auction, silent auction or raffle), the successful bidder (purchaser) will immediately sign a Buyer’s Agreement. The Buyer’s Agreement will be brought to where the bidder/purchaser is sitting for signature and the bidder/purchaser will retain one copy at that time. For silent auctions, the Silent Auction Bid Sheet or Silent Auction Sealed Bid Form is considered a Buyer’s Agreement to purchase the indicated item. All signatures on the Buyer’s Agreement and the Silent Auction Bid Sheet or Silent Auction Sealed Bid Form demonstrate that the bidder/purchaser acknowledges that the agreement is a legal and binding contract to purchase the item at the accepted bid price. Any changes, deletions or additions to the description printed on the Buyer’s Agreement, which are agreed to by the purchaser and an authorized representative of the donor, must be noted and signed by both parties in order to be recognized as part of the auction purchase.
9. Successful bidders may, during or immediately following the auction, present their copy of the Buyer’s Agreement to the Auction Payment Counter, where they may pay by cash, check or credit card. Checks should be made to SCI-First For Hunters (SCI) and must be drawn on a U.S. bank and in U.S. dollars. Visa, MasterCard, Diner's Card, Discover and American Express are accepted.
10. All auction items purchased at other than the Saturday Night Auction must be paid for in full before 6 p.m. Saturday, the last day of the Convention. Auction items purchased at the Saturday Night Auction must be paid for before the official close of the Saturday Night Auction. Arrangements for the removal of all items must be made before the close of the Saturday Night Auction. Any auction items that have not been paid for by the close of the Saturday Night Auction will be subject to a 10% surcharge, which will be added to the winning bid and this total will then become the purchase price. Any items not removed by the close of the Convention or for which arrangements for removal have not been made will be shipped COD to the winning bidder/purchaser, who also shall pay to SCI an additional 10% handling surcharge. Any bidder/purchaser who leaves his/her purchases at the Convention does so at his/her own risk. SCI is not responsible for any item not removed from the Convention by the winning bidder/purchaser. Items purchased through an online auction will be shipped by the online shipping representative and fees are the responsibility of the purchaser.
11. If you are unable to attend one or more live auction in person and wish to place bids for live auction items through a representative, you may give SCI absentee bid instructions to bid on your behalf. One of our representatives will then try to purchase your items of choice at the lowest price possible, and never for more than the top amount you indicate. However, SCI will not be held responsible for failure to execute any bid or for any errors in execution of bids. Absentee bids will be accepted until December 1 prior to the annual Convention. To place an absentee bid, you will need to call the Convention Department and talk to the Auction Program Coordinator. You must provide in advance a pre-approved credit card or other method of payment, bank reference, item to bid on and maximum bidding price that is acceptable to SCI. An absentee bidder must be a member of SCI and additionally pay the daily convention registration fee for the day of the auction of the items to be bid on. SCI will accept absentee bids for up to three auction items from one individual.
12. Silent auction items will be showcased daily at the silent auction location for open bidding to all SCI members in attendance. All open bidding, legibly written (including name, membership number and bid) will be accepted on bid boards until 30 minutes before the close of each silent auction (annual closing times will be posted in the annual day auction guide and on signage at the silent auction location). Open bid boards will be closed 30 minutes prior to the close of each silent auction. The highest bid from the bid boards will be highlighted. The final 30 minutes of bidding in the silent auction is submitted on a sealed bid form and dropped into a drop box located in the silent auction area. Sealed bid times will be posted and announced during the auction. The winning bid will be determined at the end of the 30-minute sealed-bid period. The highest bid is determined from a combination of open written bids and sealed bids for each item. If a sealed bid is higher than the last open bid, that becomes the winning bid. If two sealed bids are for the same amount, the winning bid is determined by time of bid. All sealed bids are available for review in the Auction Distribution Room after final winning bids have been posted. Sealed bid instructions are posted on the bid boards and on signs in the silent auction location. Winning bids from the previous day’s silent auction will be posted each morning at 9:00 a.m. beginning on the second convention day in the silent auction location, and at the Auction Payment Counter and the Auction Distribution Room. On the last Convention day, winning bid will be posted at 4:00 p.m. and all final payments must be made prior to the close of the Convention.
13. ALL SALES ARE FINAL. ALL TANGIBLE GOODS PURCHASED AT THE SCI AUCTIONS ARE SUBJECT TO THE CURRENT STATE AND LOCAL SALES TAX RATES. THERE WILL BE NO EXCHANGES OR REFUNDS on items or services. Unless otherwise indicated, all auction items, services and hunts must be used within one year of the date of the purchase at auction. Dates and times for applicable items are to be arranged at the mutual convenience of the donor and winning bidder/purchaser.
14. IT IS THE PURCHASER’S RESPONSIBILITY TO CONTACT THE DONOR REGARDING PURCHASED ITEMS, SERVICES OR HUNTS and to make all arrangements for hunt dates and the application of necessary of paperwork for licenses and permits. SCI is not, and will not act as, a conduit or go-between between the purchaser and donor. After the hunt has been completed, the purchaser must complete a hunt report form and submit it to the Convention Department, Auction Program.
15. Items may be removed from the Auction Distribution Room only by presenting a claim check, which is issued to the purchaser at the time of payment. Auction items may be picked up in the Auction Distribution Room following each auction. On-site shipping will be available through a representative. Fees will be quoted and will be the responsibility of the purchaser.
16. Although SCI has made every effort to ensure the quality of donated hunts and trips, it cannot, and does not, guarantee the satisfaction of either the donor or the purchaser.
17. To protect our hunt donors, SCI reserves the right to withdraw any donated hunt from the auction that does not receive a bid at the minimum of 50% of its stated value. If the Auction Program Chairman and/or the Auctioneer determines that it is necessary or in SCI’s best interest, the hunt may be offered to the last highest bidder at 50% of its stated value before determining that a withdrawal is necessary. If the last highest bidder rejects the offer, the hunt may be considered a no sale and withdrawn and may be resold later. All hunt values are printed in the auction catalog and verified from donor price lists. The Auctioneer shall have the sole and final discretion to determine the sale of a donated hunt.
18. Some hunts are subject to VAT and GST tax liabilities. Often these taxes are due and payable before a hunt can be taken. Other items may be subject to sales taxes. SCI does not assume responsibility for these fees. Please verify amounts with donor and check with the local government where a hunt is to be taken to validate tax rates.
19. All firearm (excluding some types of muzzleloaders and bows) purchases made during the convention will be subject to the Brady Handgun Violence Prevention Act of 1993. After the close of the Convention all firearms purchased at an SCI auction or won in an SCI raffle will be returned to the SCI Headquarters in Tucson and shipped to the purchaser’s nearest federally licensed dealer. It will be necessary for the purchaser to provide the SCI office with an original signed copy of the dealer’s or their own federal firearm license (FFL) and a copy of the paid auction statement before shipment can be made. All shipping costs are the responsibility of the purchaser.
20. SCI has been advised that donated “worked” ivory may be sold at its auctions. “Worked” ivory must not have been imported under any permit that prohibits the sale of that ivory. The export of “worked” elephant ivory for non-commercial or personal uses is allowed under U.S. law, but requires a CITES permit and must have been imported legally. Most hunting trophies have come into the U.S. under permits that prohibit sale, and cannot be sold. Export of “raw” ivory is not allowed for any purpose.
21. The terms and conditions set forth in the Auction Buyer Policy and the Auction Hunt Policy are hereby incorporated herein by reference.
The purchaser’s acceptance of the Buyer’s Agreement, Silent Auction Bid Sheet or Silent Auction Sealed Bid Form signifies and guarantees that the purchaser has read and understands these Auction Program Rules and Regulations, the Auction Buyer Policy and the Auction Hunt Policy, and the purchaser accepts and agrees to completely abide by and be legally bound by all the terms, conditions, rules and regulations for the Auction Program.